BVH motion capture data
Motion capture data is a two-dimensional representation of motion that takes place in a three-dimensional world. A popular way to store such data to represent human motion is the Biovision Hierarchy (BVH for short) file format.
A BVH file contains ASCII text, the first part of which provides the specifications for the initial pose of a human skeleton, and the rest a time-framed sequence of different specifications for subsequent poses.
Headed by the keyword HIERARCHY, the first part of a BVH file identifies the Hips joint as the ROOT, which is to say it has no parent-joint. This is the starting point of a nested-structure of parent-joints and child-joints.

The ROOT section specifies the location of the Hips joint in a three-dimensional space. Below the ROOT section in the structure are JOINT sections, each containing information that specifies the location of the skeletal joint relative to its parent-joint. The relative location specifications for a parent-joint and its child-joint makes it possible to work out the length of the ¡§bone¡¨ between the two joints. Where a joint has no child-joint, it is linked to an End Site section.
The ROOT section and each of the JOINT sections also specifies the CHANNELS for processing the time-framed sequence of translation and/or rotational co-ordinates provided in the second part of the BVH file.
.jpg)
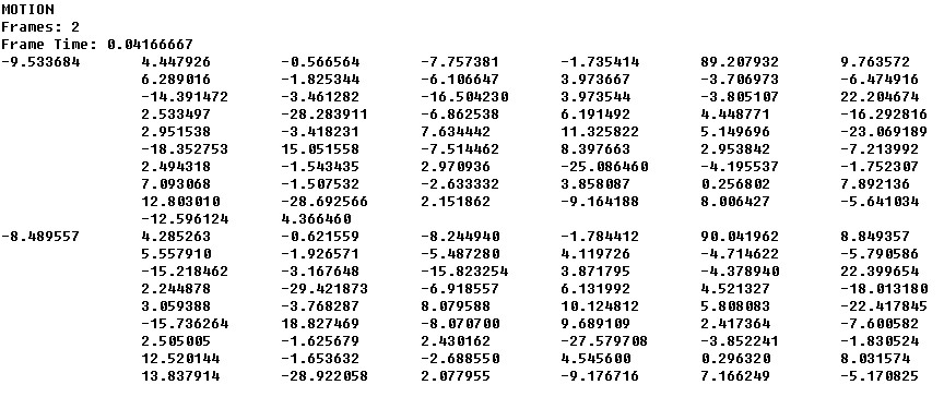
The second part of a BVH file starts with the keyword MOTION, followed by information specifying, first, the number of FRAMES; second, the sampling rate per second after the keyword FRAME TIME; and third, a number of lines corresponding to the number of FRAMES, each line providing the tranlation and/or rotation co-ordinates to be processed according to the CHANNELS specifications in the first part of the file.
.jpg)
Figure 4 below shows frame 0 of the jump-rope normal run-yokoyama.bvh file as as viewed by using the BvhViewer freeware.

Figure 5 below shows frame 0 of the same jump-rope normal run-yokoyama.bvh filed as viewed by using the QuickMotView 1.0 software.

Figure 6 below shows frame 1 of the same jump-rope normal run-yokoyama.bvh file with the Chest joint highlighted and as viewed by using the bvhacker 1.2 software.
