Content
- Introduction
- Video Capture
- Segmentation
- Classification
Segmentation
Aims of segmentation
- To recognize homogeneous regions within a jacquard image as distinct, which belongs to different patterns.
- Edge enhancement
Goal of segmentation
- To simplify and change the representation of an image into something that is more meaningful and easier to analyze. Noise reduction
- Improve the accuracy of classification
Image Handling
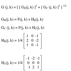
- Edge Detection
- Enhancing discontinuities
- Sobel Edge Detector
- Gray Scale
- Clear Background
- Threshold
- Resize Image
- Y = 0.3*R + 0.59*G + 0.11*B
Difficulties and findings
- Images with different background color are hard to handle
- For Example:
CS4185/CS5185 Project Presentation